- Meeting abstract
- Open Access
- Published:
Metabolic costs of physiological heat stress responses - Q10 coefficients relating oxygen consumption to body temperature
Extreme Physiology & Medicine volume 4, Article number: A103 (2015)
Introduction
Q10 describes the influence of temperature on physiological processes as the ratio of the rate of a physiological process at a particular temperature to the rate at a temperature 10 °C lower [1]. In terms of rates of oxygen consumption (VO2) related to rectal temperatures (tre), this can be written as [2]:
or equivalently,
Q10 varies between 2 and 3 in biological systems [2], and Q10 = 2 is applied in modelling the rate of metabolic heat production in relation to body temperature [3, 4]. This paper aims to determine Q10 for the influence of body temperature on oxygen consumption for light work in warm environments.
Methods
Data originated from 216 laboratory experiments [5] consisting of individual series of 14 to 39 trials performed by eleven acclimatised semi-nude young males (Icl=.1 clo) who walked 4 km.h-1 on the level for at least 3 hours under different combinations of water vapour pressure (range 0.3 - 5.2 kPa) and air temperature (range 20 - 55 °C) with air velocity of 0.3 m.s-1 and mean radiant temperature equal to air temperature. Mean values of tre and VO2 over the third hour of exposure were submitted to linear regression analyses, which were performed separately for the 11 individual series relating VO2 directly to tre and also using the logarithmised Eq. 1b (with tre,ref = 36.8 °C). Overall regression parameters were calculated by random coefficient linear mixed models considering the correlation within the individual series. Q10 coefficients were obtained as the exponentiated slopes of the fitted logarithmised Eq. 1b.
Results
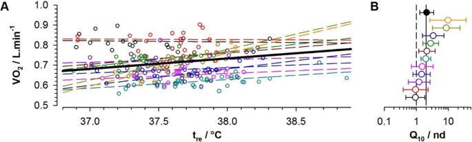
Regression analyses showed a statistically significant (p < 0.01) increase of VO2 with tre (Figure 1A) with inter-individually varying slopes, which resulted in Q10 values varying largely between 1 (indicating no influence of tre on VO2) and 10 (Figure 1B). The overall Q10 was 2.1 with 95% confidence interval (CI) 1.3 - 3.5.
VO 2 related to t re with overall regression (solid, VO 2 = 0.671+0.052(t re -36.8)) and individual lines (dashed) for 11 participants (A), and Q 10 with 95% CI for 11 individuals (open symbols) and for the total sample (filled symbol) with reference lines indicating the neutral value (Q 10 = 1, dashed) and Q 10 = 2 (solid) (B).
Discussion and conclusion
References
- 1.
Glossary of terms for thermal physiology. Journal of Thermal Biology. 2003, 28: 75-106.
- 2.
Chaui-Berlinck JG, et al: Temperature effects on energy metabolism: a dynamic system analysis. Proc R Soc Lond B. 2002, 269: 15-19. 10.1098/rspb.2001.1845.
- 3.
Werner J, Buse M: Temperature profiles with respect to inhomogeneity and geometry of the human body. J Appl Physiol. 1988, 65: 1110-1118.
- 4.
Fiala D, et al: UTCI-Fiala multi-node model of human heat transfer and temperature regulation. Int J Biometeorol. 2012, 56: 429-441. 10.1007/s00484-011-0424-7.
- 5.
Kampmann B: Zur Physiologie der Arbeit in warmem Klima. Ergebnisse aus Laboruntersuchungen und aus Feldstudien im Steinkohlenbergbau. Habilitation Thesis. 2000, Bergische Universität Wuppertal
Author information
Affiliations
Corresponding author
Rights and permissions
This article is published under license to BioMed Central Ltd. This is an Open Access article distributed under the terms of the Creative Commons Attribution License (http://creativecommons.org/licenses/by/4.0), which permits unrestricted use, distribution, and reproduction in any medium, provided the original work is properly cited. The Creative Commons Public Domain Dedication waiver (http://creativecommons.org/publicdomain/zero/1.0/) applies to the data made available in this article, unless otherwise stated.
About this article
Cite this article
Kampmann, B., Bröde, P. Metabolic costs of physiological heat stress responses - Q10 coefficients relating oxygen consumption to body temperature. Extrem Physiol Med 4, A103 (2015). https://doi.org/10.1186/2046-7648-4-S1-A103
Published:
Keywords
- Oxygen Consumption
- Body Temperature
- Heat Stress
- Linear Mixed Model
- Heat Production
